Les assureurs non-vie
face à la crise de l’inflation

Créé le

13.11.2023

-

Mis à jour le

14.11.2023

Comment l’inflation touche-t-elle les assureurs non-vie ? Quelles branches sont les plus sensibles à une hausse prolongée du taux d’inflation ? Quel est l’impact sur les actifs représentatifs des provisions techniques ? Qu’en est-il de l’écart de duration entre les postes de passif et d’actif (gap de duration) ? Telles sont les questions abordées par Timothée Briand, qui propose ensuite des solutions pour atténuer l’impact de l’inflation sur le bilan des entités d’assurance.

L’inflation fait l’actualité depuis plusieurs mois en France et elle s’installe sur la durée. À juillet 2023, l’INSEE estime que l’inflation se situe pour le 11e mois consécutif sur un plateau autour de 6 %. Ce niveau d’inflation n’avait pas été atteint depuis au moins la fin des années 1980 en France. Le taux d’inflation avait même connu des niveaux historiquement bas, notamment en 1999, où il se situait aux alentours de 0,5 %, en 2009 vers 0,1 % ou en 2015, où il était nul. Les projections de l’inflation prévoient un ralentissement seulement à compter du début de l’année 2024. Toutefois, ces projections sont très incertaines à cause des fortes tensions financières. Il s’agit d’une donnée nouvelle dans le paysage économique français qu’il convient de prendre en considération rapidement dans l’analyse de l’activité des assureurs non-vie en France et de leur stratégie de développement. En outre, l’inflation est un phénomène complexe, qui a de nombreuses causes et de multiples conséquences, il est important de comprendre que ces conséquences sur l’assurance sont tout aussi complexes.

L’inflation a un impact significatif sur le coût des sinistres pour les compagnies d’assurances non-vie.

Ainsi, l’inflation sur l’indemnisation de l’assurance progresse plus vite que l’inflation sur les composants de l’indemnisation, pourtant déjà elle-même supérieure à la hausse des prix à la consommation1. Ce constat est peu connu mais il s’explique simplement. L’existence même de l’assurance encourage l’assuré à être moins attentif aux coûts de réparation d’un sinistre dès lors qu’il a la certitude que celui-ci sera indemnisé. Ce phénomène est empirique mais conduit inévitablement à l’emballement de la hausse des coûts des sinistres. De plus, une fraction importante de l’indemnisation non-vie couvre des dépenses de salaires, notamment dans les services. Ces derniers progressent sous l’impulsion des négociations salariales qui s’ouvrent en période d’inflation, sans pour autant exhiber des gains de productivité significatifs. En outre, le coût des matières premières augmente et avec lui le coût de remplacement et de réparation des biens endommagés.

L’inflation entraîne donc une hausse importante des passifs des assureurs. Toutefois, cette augmentation n’est pas linéaire et n’est pas identique selon que l’on parle de branches à déroulement long ou de branches à déroulement court.

Pour les branches dites courtes, dont les sinistres se règlent rapidement, en un ou deux règlements, ne sont pas concernés par un recours, et dont on distingue par exemple les incendies, les vols ou les dommages automobiles, les augmentations des prix des matières premières, des pièces détachées ou des coûts de l’énergie sont directement quantifiables. Lorsque nous ne sommes pas en cumul de chronique de sinistres, nous observons alors des conséquences immédiates, tout de suite quantifiables, sinistre après sinistre, mais qui ne s’accumulent pas dans le temps.

Pour les branches dites longues, dont on retient par exemple les sinistres corporels automobile ou médical, la construction ou encore la responsabilité civile générale, les effets de l’inflation se cumulent dans le temps. Les provisions pour sinistres à régler augmentent. Ces branches sont donc beaucoup plus sensibles à l’inflation car ses effets s’inscrivent dans le temps.

L’inflation a également un impact significatif sur les taux d’intérêt des marchés financiers et la rémunération des actifs.

Lorsque l’inflation augmente, les banques centrales adoptent une politique de restriction monétaire sous l’effet de laquelle les taux d’intérêt augmentent également. Des taux d’intérêt plus élevés augmentent le coût du capital pour les entreprises, ce qui réduit leur capacité à investir et à se développer. Ils peuvent améliorer la rémunération de certains actifs mais l’impact de l’inflation sur celle-ci ne peut pas se réduire à cela. En effet, cela dépend de la manière dont ils sont investis ainsi que de leur nature.

Les obligations déjà présentes dans le portefeuille d’actifs d’un assureur perdent généralement en attractivité, et donc en valeur, en période d’inflation, car leur rémunération fixe devient moins intéressante par rapport aux taux d’inflation et aux nouveaux titres qui sont émis sur les marchés.

Les actions, quant à elle, peuvent être affectées de manière variable selon le type d’entreprise et le type de secteur desquels elles opèrent. Certaines entreprises sont directement confrontées à l’augmentation des coûts de production, des matières premières et de la main-d’œuvre. C’est le cas, par exemple, des entreprises du secteur du bâtiment comme les constructeurs ou les promoteurs. Ces conséquences sur les coûts réduisent les marges bénéficiaires de celles-ci. Cette perte de bénéfice réduit la confiance des investisseurs, qui auront tendance à délaisser les actions de ces entreprises, qui perdront en valeur. D’autres sociétés, quant à elles, du secteur des matières premières ou de l’énergie, peuvent bénéficier de l’inflation. La faculté qu’ont ces entreprises à fixer librement leurs prix de vente permet de dégager des bénéfices et ainsi préserver leur rentabilité. Cela aura certainement pour effet de rassurer les investisseurs sur les marchés financiers, qui auront tendance à investir dans les titres qu’elles peuvent émettre et donc d’augmenter leur valeur. Toutefois, des investissements trop importants dans des industries polluantes iraient à l’encontre des orientations RSE et des promesses d’investissements ISR promises par les assureurs.

Néanmoins, la bourse peut certes baisser sur le court terme mais, à long terme, les titres à revenu variable ont tendance à profiter de l’inflation et à gagner en valeur car il y a un report des épargnants de l’obligataire vers les actions.

Il convient alors d’observer la composition du portefeuille d’actifs d’un assureur pour connaître sa sensibilité aux risques liés à l’inflation et savoir s’il perdra ou gagnera en valeur. En outre, l’inflation augmente significativement la volatilité d’un portefeuille et sa rentabilité sera plus incertaine et instable.

Cet environnement incertain et instable se manifeste à l’échelle de tout le tissu économique et se ressent sur l’activité même des assureurs non-vie. On peut citer, par exemple, le marché de l’assurance des entreprises. Le ralentissement de la consommation réduit la demande et ralentit la croissance. Les entreprises perdent des bénéfices et le marché se rétracte.

Selon France Assureurs, le portefeuille d’actifs moyen d’un assureur non-vie se compose pour 33 % d’obligations privées, pour 23 % d’actions, pour 6 % d’immobiliers et pour 28 % de dettes souveraines. Il est donc relativement diversifié et bénéficie d’une gestion prudente.

Il est primordial que l’évaluation des risques issus de l’inflation se fasse à la lumière de la stratégie de gestion actif-passif mise en œuvre, car celle-ci combine à la fois l’impact sur les passifs et l’impact sur les actifs.

La gestion actif-passif est une technique de gestion placée sous le contrôle de la gouvernance qui permet de sécuriser l’activité des assureurs face au risque de souscription notamment. Cette technique permet de coordonner les décisions prises sur les actifs et les passifs.

Dans ce cadre, il convient d’observer trois éléments : la duration des actifs et des passifs, l’indexation des passifs et la rémunération des actifs vis-à-vis de l’inflation.

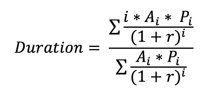
Rappelons que la duration est la durée de vie moyenne des flux financiers pondérée par leur valeur probable actualisée et est donnée par2 :

$!Les assureurs non-vie face à la crise de l’inflation

i est l’année de paiement, Ai le flux payé l’année i, Pi la probabilité de payer le flux de l’année i, et r le taux d’actualisation.

Le gap de duration est la différence entre la duration du passif et la duration de l’actif 3 :

Gap de duration = Durationpassif - Durationactif

Dans le calcul de duration de l’actif, il faudra bien exclure l’immobilier et les actifs liquides et semi-liquides car ces derniers ont une duration nulle qui fausserait les résultats et la prise de décision.

La duration et le gap de duration sont des indicateurs pertinents qui permettent de mesurer la sensibilité d’un assureur à l’inflation. Plus les actifs obligataires sont longs, plus l’assureur qui les possède subit une rentabilité médiocre, eu égard à l’évolution des marchés financiers décrite précédemment. Plus les passifs sont courts, moins ils subissent les effets de l’inflation dans le temps et moins il faudra revoir leurs taux d’actualisation. En outre, un gap de duration négatif entraînera des pertes en période de remontée des taux d’intérêt, contrairement à un gap de duration positif.

D’autre part, lorsque les passifs sont indexés, par définition, ils évoluent avec l’inflation. Si l’inflation augmente, alors les passifs augmentent également et pèsent davantage dans le bilan des assureurs.

Si les actifs rémunèrent plus que l’inflation, leurs titulaires peuvent enregistrer des profits intéressants issus des produits financiers ; dans le cas contraire, ils enregistreront des moins-values.

Actuellement, notons que la valeur des actifs dans le portefeuille des assureurs non-vie est en forte baisse, ce qui ne permet pas de compenser les effets de l’inflation. L’évolution de la bourse sur le long terme permettra de confirmer ou d’infirmer ce fait que l’on observe actuellement.

Ainsi, la grande faiblesse des assureurs face à l’inflation, c’est l’obligataire. Ces derniers ont décidé d’allonger la duration de leurs titres de créance en 2022, ce qui réduit le gap de duration entre les passifs et les actifs et ne permet pas de tirer profit de la remontée des taux. Investir dans des obligations de long terme n’est pas préconisé en période d’inflation. Cela peut témoigner de la présence de passifs trop longs dans le portefeuille des assureurs, ce qui les obligeraient à allonger leurs actifs. Ou bien cela peut être le signe d’un manque d’anticipation de la hausse de l’inflation.

En outre, les actifs et les passifs ont une durée plutôt longue. De plus, ces passifs sont par nature indexés à l’inflation car ils versent des prestations indemnitaires.

On en conclut aisément que les assureurs non-vie sont en mauvaise posture vis-à-vis de l’inflation. Ces derniers sont dans une situation critique qui entraînera très certainement des pertes.

Il est donc important d’établir une stratégie claire, précise et efficace pour lutter contre ces risques et limiter les pertes.

Il est préconisé aux assureurs de raccourcir temporairement la duration de leurs passifs et encore plus celle de leurs actifs afin de réduire l’impact de l’inflation sur les premiers et conserver un gap de duration positif. Obtenir des actifs plus courts permet de renouveler plus rapidement les titres avec une rentabilité moindre par des titres avec une meilleure rentabilité.

Pour raccourcir la duration de leurs passifs, les assureurs peuvent accélérer le paiement des sinistres en cours ou à venir en facilitant les procédures de remboursement ou bien en ayant recours à davantage de gré à gré pour les petits sinistres. L’objectif est d’éviter au maximum la réévaluation des provisions pour sinistres à payer. Aussi, les assureurs peuvent orienter provisoirement leurs politiques commerciales et leurs appétits de souscription vers des branches à déroulement court plutôt que long. Il ne s’agit pas de renoncer totalement aux branches longues, mais les tarifs peuvent être temporairement réduits pour les branches courtes et augmentés pour les branches longues.

Pour raccourcir la duration de leurs actifs, les assureurs peuvent investir massivement dans des actifs de court terme. Cela a pour effet de réduire la duration moyenne du portefeuille d’actifs.

Toutefois, il faut veiller à ce que le gap de duration demeure positif, afin de tirer profit de la remontée des taux.

Pour renforcer l’efficacité de la gestion actif-passif dans la gestion des risques liés à l’inflation, il faut renforcer les modèles internes de projection de l’inflation dans les scénarios économiques qui sont utilisés pour anticiper les flux futurs d’une compagnie d’assurance. La mesure de l’inflation à une date t est donnée par :

$!Les assureurs non-vie face à la crise de l’inflation

IPC est l’indice des prix à la consommation (Haffar et Teulon, 2017).

Il est tout à fait envisageable de prendre exemple sur des compagnies œuvrant dans des pays où de forts taux d’inflation sont la norme, comme le Brésil par exemple, ou d’autres pays d’Amérique Latine. Ces derniers sont habitués à gérer l’inflation et à la mesurer très finement et régulièrement. En la matière, les compagnies françaises qui ont des filiales dans la région possèdent un avantage certain.

La mise en œuvre de la gestion actif-passif, des scénarios économiques et des modèles inflationnistes, peut se faire en segmentant actif et passif par branche de souscription. Cette méthode permet d’obtenir une meilleure efficacité et de renforcer la possibilité d’une gestion conjointe entre les passifs et les actifs en se privant des grandes disparités de nature qui existent entre les différentes branches. Ainsi les actifs seraient adaptés à la cadence des sinistres.

D’autre part, il est préconisé aux assureurs d’augmenter substantiellement leurs tarifs en y ajoutant une prime de risque sur l’inflation. Il peut même y avoir un avantage significatif à augmenter les tarifs avant la concurrence mais plus progressivement, d’où l’importance de faire preuve d’une excellente analyse macroéconomique.

Pour déterminer cette prime de risque, ces derniers doivent s’appuyer sur leur analyse de la situation macroéconomique. Ils doivent déterminer la volatilité de l’inflation en analysant son historique sur plusieurs périodes car il existe une forte corrélation positive entre la volatilité de l’inflation et sa moyenne. Il faudra également prendre en compte les possibles effets de ruissellement que les économistes appellent « effets de spillovers ». La volatilité des prix des matières premières a en effet tendance à se transmettre à l’ensemble de l’économie réelle et générer de l’incertitude et de l’instabilité.

Les assureurs doivent mettre en place des méthodes efficaces pour anticiper l’inflation en y intégrant des modèles de prévision et en y associant sa volatilité. Il existe une corrélation positive entre l’évolution de la masse monétaire en circulation et l’évolution de l’inflation à condition d’y intégrer une composante sur la vitesse de circulation de la monnaie. Les assureurs devront donc s’enquérir régulièrement de l’évolution de cette masse monétaire et des prévisions en la matière. Une croissance économique installée sur le long terme est inversement corrélée à la volatilité de l’inflation. A contrario, les conséquences, positives ou négatives, d’une politique monétaire visant à contenir l’inflation, ne sont pas quantifiables. Il n’est donc pas possible de calculer une projection sur la base de cet élément4.

Ces observations et projections permettent de déterminer une juste prime de risque ainsi que de la réévaluer régulièrement en fonction des changements réellement observés. La prime de risque, si elle est adaptée, permet de se prémunir efficacement contre l’inflation et de compenser ses effets, notamment ceux sur le coût des sinistres.

Enfin, les assureurs peuvent également ouvrir de nouveaux marchés en proposant des produits d’assurance qui offrent des protections contre l’inflation. Cette stratégie permet de tirer profit de l’inflation tout en gagnant des parts de marchés. Ces produits devront faire l’objet d’une tarification minutieuse et intégrant une forte prime de risque.

Toutefois, les assureurs doivent être conscients que cette stratégie ferait perdre des opportunités de profit dans l’hypothèse où l’inflation serait moins élevée que prévu.

Si l’inflation diminue, les politiques monétaires auront tendance à faire diminuer également les taux d’intérêt. En cas de diminution de ces derniers, le gap de duration positif n’est plus adapté, il ne permet pas de dégager des profits et peut même être à l’origine de pertes.

Comme évoqué, la volatilité de l’inflation et des prix se propagent à l’économie générale en accentuant l’incertain sur les marchés financiers. Cette volatilité rend les observations statistiques moins stables et les projections plus difficiles. Si la prime de risque sur l’inflation à incorporer aux tarifs a été calculée sur la base de mauvaises projections, alors les tarifs des produits distribués par un assureur seront en décalage par rapport au marché. Si l’inflation tend à diminuer, alors la prime de risque qui est intégrée aux tarifs des produits d’assurance est mal dimensionnée et elle fait gonfler inutilement ces derniers au détriment de la compétitivité. Face à ce déséquilibre, les assureurs peuvent perdre des parts de marché.

Cependant, ces pertes sont possibles et non certaines, contrairement aux pertes issues des risques liés à l’inflation et qui ne seraient pas contenus. Il convient de relativiser ce risque qui reste minime en comparaison des pertes importantes et certaines qu’engendrerait une inflation mal anticipée.

De plus, la duration a ses limites car elle débouche inévitablement sur un problème de liquidité. Comme évoqué précédemment, on ne connaît pas la duration d’un actif liquide. Il convient néanmoins de conserver une poche de liquidité importante pour éviter les moins-values.

Ainsi, l’inflation est source d’instabilité économique et de risques pour les assureurs non-vie. Il est important d’évaluer ces risques et de mettre en place une stratégie efficace pour lutter contre eux et ainsi limiter les pertes. La clé de compréhension de ces risques est intimement liée à la stratégie de gestion actif-passif mise en œuvre. Cette dernière permet d’évaluer la sensibilité d’un acteur ou bien du marché complet face à ces risques et également de s’en prémunir efficacement. L’observation des choix stratégiques effectués récemment par les assureurs non-vie ainsi que de leur portefeuille d’actifs et de passifs permet de comprendre que certains d’entre eux pourraient être en mauvaise posture pour faire face à l’inflation. Il convient de prendre au plus vite des mesures fortes pour limiter les pertes. Il est possible de se protéger contre l’inflation en poursuivant le resserrement de la rentabilité technique, qui est au cœur de la stratégie des assureurs depuis la période de taux d’intérêt négatifs, mais également en adaptant la gestion actif-passif. Les assureurs doivent porter une attention particulière à leurs sinistres mais également à leurs politiques de souscription, leurs choix d’investissement et leur analyse de la situation macroéconomique.

À retrouver dans la revue
Revue Banque HS-Stratégie-Nº8
Références
Abadie A. (2019), Taux bas : les assureurs en quête de la bonne formule, L’Argus de l’assurance, 19 décembre.
Bancel J.-L. (2008), « Assurance et inflation : un couple explosif
ou une relation contrôlable ? », Revue d’économie financière, 2008,
pp. 341-345.
Bénéplanc G., Charpentier A. et Thourot P., Manuel de l’assurance, PUF.
Bourghelle D., Jawadi F. et Rozin P. (2022), « Inflation : la volatilité des prix des matières premières se propage au reste de l’économie », La Tribune, 15 décembre.
Boyer R. (2022), « Retour de l’inflation : la fin d’une époque », Alternatives économiques, 7 juin.
Bruno O. et Musso P. (2000), « Volatilité de l’inflation et croissance économique », Revue économique, pp. 693-701.
Cariou A. (2022), « L’épargne populaire, l’autre victime de l’inflation », Alternatives économiques, 16 mai.
Carrère M.-C., Limoge F., Thouet N. et Vié S. (2022), « Les taux augmentent, mais l’inflation s’envole : quelles conséquences pour l’assurance ? », L’Argus de l’assurance, 18 mai.
Castagna M. (2022), « Assurance vie : Une arme contre l’inflation pour les Français », News Assurance Pro, 2 juin.
Chavagneux C. (2022), « Banque centrale européenne : les risques d’un changement de cap », Alternatives économiques, 14 juin.
Gérard A., Incidence d’un contexte multi-réglementaire sur le pilotage d’une compagnie d’assurance, Mémoire, Institut des Actuaires.
Gomez F. (2022), « L’impact de l’inflation sur vos investissements », Les Échos, 20 mai.
Haffar A. et Teulon F. (2017), Le rôle des scénarios économiques dans la gestion actif/passif d’une compagnie d’assurance, Gestion 2000, Éditions Association de Recherches et Publications en Management.
Lorenzi J.-H., Bénéplanc G., Bollon P., Trainar P. et Zajdenweber D. (2022), « Entretien avec Denis Kessler », Risques n° 130, juin.
Seys J.-C. (2011), « Assurance et inflation », L’Argus de l’assurance, 24 juin.
Zajdenweber D. (2021), « Assurance, le retour de l’inflation ? », Risques, juin.
« Inflation : une hausse des prix soudaine et durable aux causes et effets multiples », Vie publique, 6 mars 2023.
AXA France, Rapport sur la solvabilité et la situation financière, exercice 2021.
ACPR, Banque de France (2021), Les chiffres du marché français de la banque et de l’assurance.
Banque de France (2023), Les placements des assurances, 1er trimestre.
Banque de France (2023), Projections macroéconomiques, mars.
Dares (2022), Évolutions des salaires de base dans le secteur privé : résultats provisoires du 2e trimestre 2022, 12 août.
The Geneva Association (2023), The Return of Inflation, What it Means for Insurance, janvier.
Notes :
1 Philippe Trainar, cité dans Carrère M.-C., Limoge F., Thouet N. et Vié S., « Les taux augmentent, mais l’inflation s’envole : quelles conséquences pour l’assurance ? », L’Argus de l’assurance, 18 mai 2022.
2 Bénéplanc G., Charpentier A. et Thourot P., Manuel d’assurance, PUF.
3 Gérard A., mémoire « Incidence d’un contexte multi-réglementaire sur le pilotage d’une compagnie d’assurance ».
5 Bruno O. et Musso P. (2000), « Volatilité de l’inflation et croissance économique », Revue économique, pp. 693-701 ; McCandeless et Weber (1995) ; Judson et Orphanides (1996) ; Andres, Domenech et Molinas (1996).